本套试卷难度分析:22年西安邮电大学824,我也发布过,若有需要戳这里自取!本套试题内容难度中等偏下,题量偏多,但是都是比较常见的类型,试卷考察性质定理较多,计算的时候需要耐心,很适合大家查缺补漏,提高计算能力。
一、考研择校分析
西安邮电大学824择校分析-宝藏双非保护一志愿,就业前景丝毫不弱于211!
二、重点勾画
-
冲激函数的性质
-
奈奎斯特抽样定理
-
三角形式的余弦分量以及正弦分量
-
傅里叶变换以及逆变换的求解
-
判断系统稳定性
-
欧拉公式
-
信号卷积计算
-
帕塞瓦尔能量公式
-
初值定理
-
线性时不变系统的判断
-
傅里叶反变换公式
-
特征输入法
-
周期信号的直流分量和谱线间隔
-
零状态响应的求解
-
求解信号拉氏变换以及逆变换
-
求解信号Z变换以及逆z变换
-
功率计算公式
-
卷积公式
-
三大变换的基本性质,比如微分和积分性质
-
冲激函数的基本性质
-
零状态响应和零输入响应
-
尺度变化
-
框图的正确理解
-
大家在强化阶段,在这里找到和你报考院校对应的参考教材为同一本的考研真题,拿来优先练手,专题强化。 -
所有真题务必先做完,再去看解析。真题很宝贵,无论是题目质量还是考察方式都会优于市面上的模拟题,请务必珍惜。
![图片[1]-【23真题】四电四邮、专业课最简单的!西安邮电大学824-梦马考研](https://oss.tongxinkaoyan.com/oss://tongxinkaoyan/2024/01/frc-821edc1b4981906b825a7fd7447463af.png)
![图片[2]-【23真题】四电四邮、专业课最简单的!西安邮电大学824-梦马考研](https://oss.tongxinkaoyan.com/oss://tongxinkaoyan/2024/01/frc-2f577dbe1ebd13c165fcb5f5c07660e3.png)
![图片[3]-【23真题】四电四邮、专业课最简单的!西安邮电大学824-梦马考研](https://oss.tongxinkaoyan.com/oss://tongxinkaoyan/2024/01/frc-b6a281f740b7e49d2852cbcb07913323.png)
![图片[4]-【23真题】四电四邮、专业课最简单的!西安邮电大学824-梦马考研](https://oss.tongxinkaoyan.com/oss://tongxinkaoyan/2024/01/frc-59fae09dbf0c405cfc49ba049d79fd2f.png)
![图片[5]-【23真题】四电四邮、专业课最简单的!西安邮电大学824-梦马考研](https://oss.tongxinkaoyan.com/oss://tongxinkaoyan/2024/01/frc-a2792d01b0ebed5c01903b4e5cd140f5.png)
![图片[6]-【23真题】四电四邮、专业课最简单的!西安邮电大学824-梦马考研](https://oss.tongxinkaoyan.com/oss://tongxinkaoyan/2024/01/frc-5b0917e67aa1146858ce001e3e063e2a.png)
![图片[7]-【23真题】四电四邮、专业课最简单的!西安邮电大学824-梦马考研](https://oss.tongxinkaoyan.com/oss://tongxinkaoyan/2024/01/frc-c6d0b36f8913fdc215b309f601ef3385.png)
![图片[8]-【23真题】四电四邮、专业课最简单的!西安邮电大学824-梦马考研](https://oss.tongxinkaoyan.com/oss://tongxinkaoyan/2024/01/frc-dc8726718b649125e169cd701d4161e4.jpeg)
真题题目pdf,登陆后下载(提取码:yyds)
真题详细解析领取,请于公众号【通信考研小马哥】回复:23824
留个点赞和在看再走呀~
你们是我更新的唯一动力!
请做完再看解析哦~
西安邮电大学824的考研交流q群:762100520,群内会不定期上传复习文件与各种资料,欢迎大家进群交流学习!
![图片[9]-【23真题】四电四邮、专业课最简单的!西安邮电大学824-梦马考研](https://oss.tongxinkaoyan.com/oss://tongxinkaoyan/2024/01/frc-15b9b4dc880308b4c3ca1b3b6ff8d4b5.png)
四、真题知识点分析:
第一大题填空题,包括10道小题
第1小题考察冲激函数的筛选性质以及尺度变换性质,要注意积分区间;
第2小题考察有限离散信号的卷积;
第3小题考察信号的三角形式的余弦分量以及正弦分量;
第4小题考察周期信号的周期求解,这里考了一下欧拉公式;
第5小题考察帕塞瓦尔能量等式计算积分;
第6小题考察因果信号的初值定理;
第7小题考察傅里叶变换的时移、频域和尺度变换性质;
第8小题考察傅里叶逆变换;
第9小题考察系统的稳定性条件;
第10小题考察时移以及尺度变换对最大频率的影响以及奈奎斯特采样频率;
第二大题选择题,包括10个小题
第1小题考察因果信号的特性;
第2小题考察线性时不变系统的判断;
第3小题考察傅里叶变换公式求解;
第4小题考察周期信号直流分量和谱线间隔的计算;
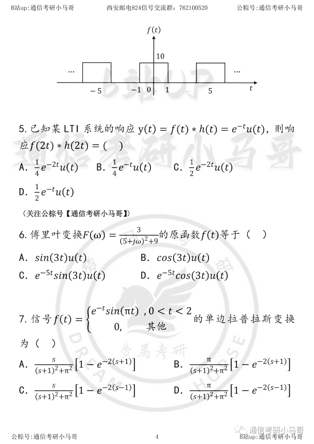
第5小题考察信号经过尺度变化后的傅里叶关系,这一道题很多学校都有所考察;
第6小题考察傅里叶逆变换;
第7小题考察单边拉普拉斯逆变换;
第8小题考察信号的拉普拉斯逆变换;
第9小题考察卷积的定义以及收敛域的求解;
第10小题考察能量信号和功率信号的定义;
第三大题画图题,包括2个小题
第1小题考察尺度变换和时移对信号波形的影响;
第2小题考察通过零极点图得到系统函数以及特征输入法;
第四大题计算题
考察了通过周期信号的波形得到信号的傅里叶变换,以及通过冲激函数的表达式得到其频谱,还考察了经过滤波器的输出以及平均功率的求解;
第五大题计算题
考察连续因果时间系统的信号流图求解系统函数和冲激响应以及零输入和零状态的求解还有稳定性判断和微分方程的表达式;
第六大题计算题
考察了从线性时不变因果系统框图得到系统函数和单位序列响应、单位阶跃响应以及稳态输入(记得考察信号的稳定性)以及状态方程和输出方程;

B站:通信考研小马哥
公众号:通信考研小马哥
知乎:通信考研小马哥




























































- 最新
- 最热
只看作者