第一题考察冲激函数基本性质,需要根据积分上下限合理化简等式,比较基础。
第二题考察傅里叶变换性质与常见傅里叶变换对,直接使用公式即可得到结果。
第三题考察奈奎斯特采样,以及卷积的性质。需要对奈奎斯特采样在频域的意义有所了解。
第四题考察拉普拉斯变换,尤其是拉普拉斯变换的定义。题目计算较为复杂。
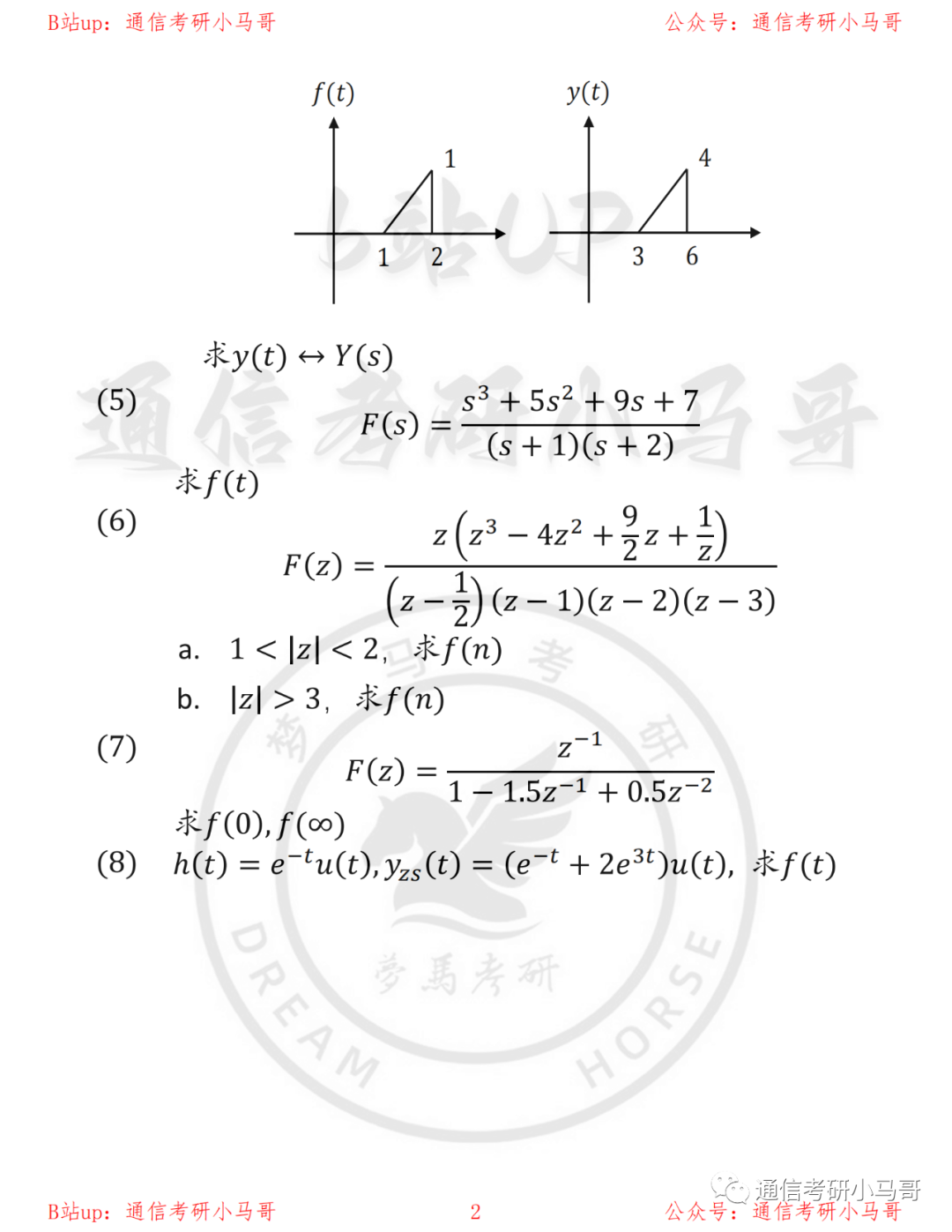
第五题考察拉普拉斯变换,用到待定系数法进行因式分解。需要注意在逆变换时要先将式子化为真分式,以及在逆变换时对收敛域进行讨论。
第六题考察z变换,需要进行因式分解,使用留数法确定系数可以化简计算过程。注意题目中给出的收敛域变化。
第七题考察z变换的初值与终值。考虑系统不确定是否为因果系统,直接使用初值定理和终值定理容易发生错误。可以通过逆变换求原函数后再计算初值和终值。
第八题考察连续时间系统的s域分析,由于题目只考察了零状态响应,整体思路较为简单。
第九题考察梅森公式,需要发现系统是并联型的系统负责直接使用梅森公式可能会使计算复杂。
第十题考察零状态响应与零输入响应,要灵活使用系统的线性性质来减轻题目的计算量。
第十一题考察梅森公式和系统的稳态条件。可以使用罗斯阵列或者二次函数的性质判别稳定性,注意将临界稳定的条件单独讨论。
第十二题考察z变换的性质,需要求解系统函数以及根据系统输出计算输入。题目不难,注意对收敛域的计算即可。
第十三题考察拉普拉斯变换,包括对电路元件的s域模型,拉普拉斯变换的零极点分布以及冲激响应和阶跃响应的计算。题目的解题思路比较清晰,注意计算不要有失误。
第十四题考察傅里叶变换,主要考察卷积与滤波器相关的知识。注意卷积公式中的1/2pi即可。
考察知识点包括但不限于:
-
冲激函数的性质 -
傅里叶变换 -
奈奎斯特采样频率 -
卷积的性质 -
拉氏变换及其逆变换 -
求解信号Z变换以及逆z变换,收敛域 -
零状态响应与零输入响应 -
梅森公式 -
z变换的性质 -
状态方程,输出方程 -
电路元件的s域模型 -
判断系统稳定性 -
零极点分布画图 -
根据图像画频谱
-
大家在强化阶段,在这里找到和你报考院校对应的参考教材为同一本的考研真题,拿来优先练手,专题强化。 -
所有真题务必先做完,再去看解析。真题很宝贵,无论是题目质量还是考察方式都会优于市面上的模拟题,请务必珍惜。
![图片[1]-【湖北大学813】22年真题及解析湖北大学813-梦马考研](https://oss.tongxinkaoyan.com/oss://tongxinkaoyan/2024/01/frc-7394d66e269b132855d414f018e59b41.png)
![图片[2]-【湖北大学813】22年真题及解析湖北大学813-梦马考研](https://oss.tongxinkaoyan.com/oss://tongxinkaoyan/2024/01/frc-9c31454e69ae118ec74dfde8a5094721.png)
![图片[3]-【湖北大学813】22年真题及解析湖北大学813-梦马考研](https://oss.tongxinkaoyan.com/oss://tongxinkaoyan/2024/01/frc-f17b44b6eec11a4f51abec365a8de286.png)
![图片[4]-【湖北大学813】22年真题及解析湖北大学813-梦马考研](https://oss.tongxinkaoyan.com/oss://tongxinkaoyan/2024/01/frc-451b9873f472f948af29b0c1207b9479.png)
![图片[5]-【湖北大学813】22年真题及解析湖北大学813-梦马考研](https://oss.tongxinkaoyan.com/oss://tongxinkaoyan/2024/01/frc-3e12b5cd2a8c51ef328ccec235556426.jpeg)
真题题目pdf,登陆后下载(提取码:yyds)
真题详细解析领取,请于公众号【通信考研小马哥】回复:2281301
留个点赞和在看再走呀~
你们是我更新的唯一动力!
请做完再看解析哦~
第一题考察冲激函数基本性质,需要根据积分上下限合理化简等式,比较基础。
第二题考察傅里叶变换性质与常见傅里叶变换对,直接使用公式即可得到结果。
第三题考察奈奎斯特采样,以及卷积的性质。需要对奈奎斯特采样在频域的意义有所了解。
第四题考察拉普拉斯变换,尤其是拉普拉斯变换的定义。题目计算较为复杂。
第五题考察拉普拉斯变换,用到待定系数法进行因式分解。需要注意在逆变换时要先将式子化为真分式,以及在逆变换时对收敛域进行讨论。
第六题考察z变换,需要进行因式分解,使用留数法确定系数可以化简计算过程。注意题目中给出的收敛域变化。
第七题考察z变换的初值与终值。考虑系统不确定是否为因果系统,直接使用初值定理和终值定理容易发生错误。可以通过逆变换求原函数后再计算初值和终值。
第八题考察连续时间系统的s域分析,由于题目只考察了零状态响应,整体思路较为简单。
第九题考察梅森公式,需要发现系统是并联型的系统负责直接使用梅森公式可能会使计算复杂。
第十题考察零状态响应与零输入响应,要灵活使用系统的线性性质来减轻题目的计算量。
第十一题考察梅森公式和系统的稳态条件。可以使用罗斯阵列或者二次函数的性质判别稳定性,注意将临界稳定的条件单独讨论。
第十二题考察z变换的性质,需要求解系统函数以及根据系统输出计算输入。题目不难,注意对收敛域的计算即可。
第十三题考察拉普拉斯变换,包括对电路元件的s 域模型,拉普拉斯变换的零极点分布以及冲激响应和阶跃响应的计算。题目的解题思路比较清晰,注意计算不要有失误。
第十四题考察傅里叶变换,主要考察卷积与滤波器相关的知识。注意卷积公式中的1/2即可。

B站:通信考研小马哥
公众号:通信考研小马哥
知乎:通信考研小马哥






























































- 最新
- 最热
只看作者